- About MPSepang
- Council Management
- Chief Digital Officer (CDO)
- Services
- Management Department
- Management Services Department
- Licensing Department
- Health Environmental Department
- Corporate And Community Development Department
- Treasury Department
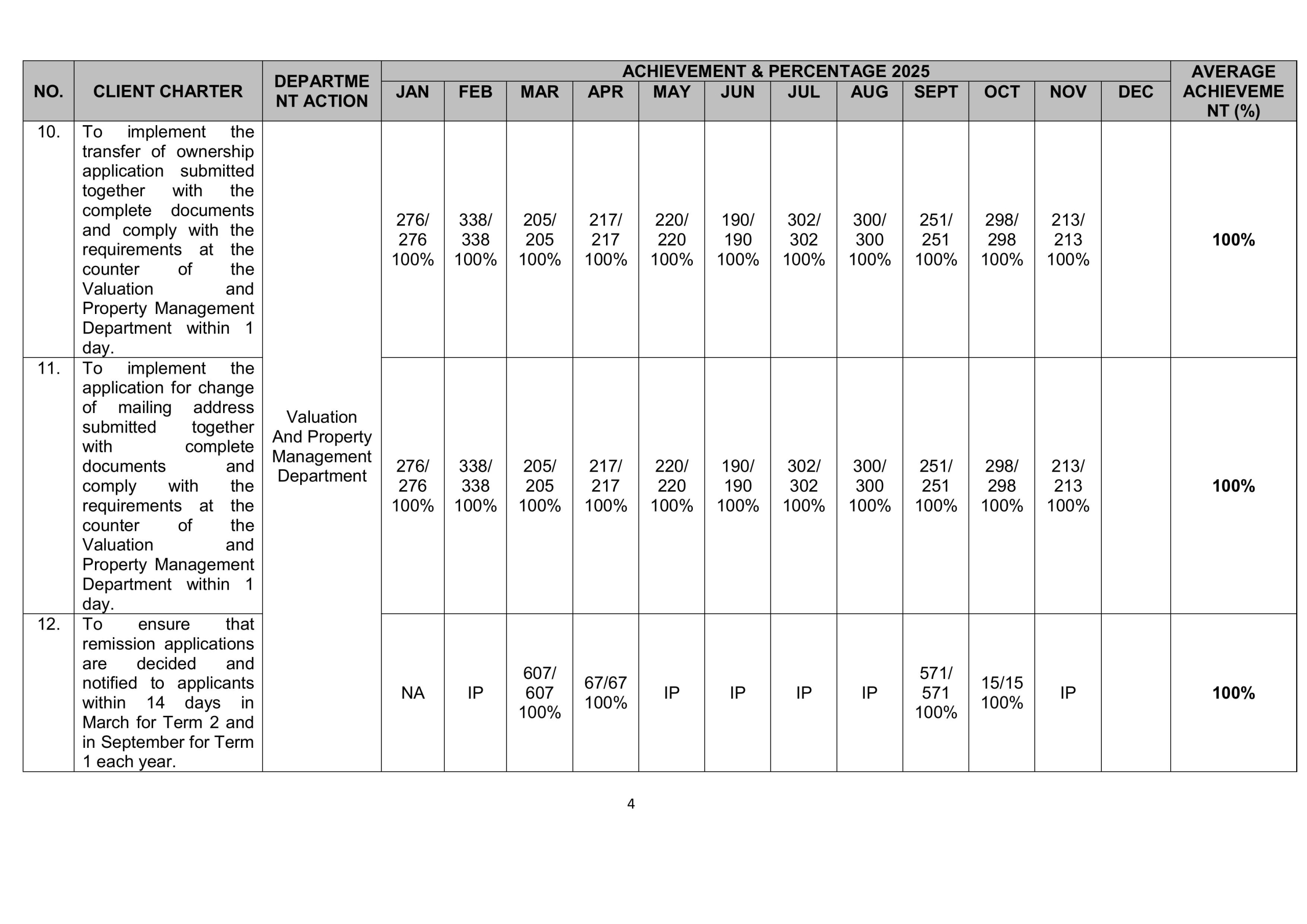
- Valuation and Property Management Department
- Town Planning and Landscaping Department
- Engineering Department
- Building Department
- Enforcement Department
- Maintenance Works MPSepang
- MPSepang Strategic Plans
- Awards & Recognition
- Legislation
- ISO Compliance
- Ekosistem Kondusif Sektor Awam (EKSA)
- E-Services
- Resources
- Archive
MPSEPANG CLIENT CHARTER ACHIEVEMENT 2025
Page 1

Page 2

Page 3

Page 4

Page 5

Page 6

Page 7

Page 8

Page 9

Page 10


English
Bahasa Melayu


Visit Today : 579
This Month : 11535
Total Visit :1651245