- About MPSepang
- Services
- Management Department
- Management Services Department
- Licensing Department
- Health Environmental Department
- Corporate And Community Development Department
- Treasury Department
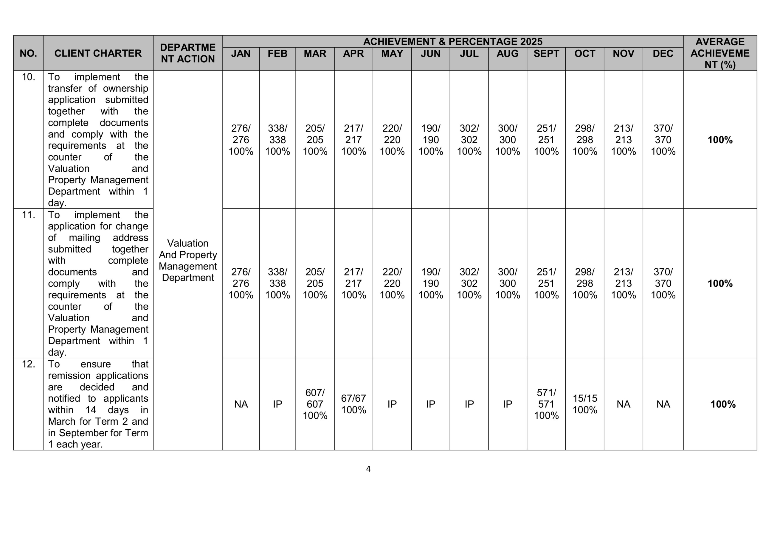
- Valuation and Property Management Department
- Town Planning Department
- Landscaping Department
- Engineering Department
- Building Department
- Enforcement Department
- Maintenance Works MPSepang
- MPSepang Strategic Plans
- Awards & Recognition
- Legislation
- ISO Compliance
- Ekosistem Kondusif Sektor Awam (EKSA)
- Resources
- E-Services
CLIENT CHARTER ACHIEVEMENT 2025











